情報理論(基礎理論)
学習のポイント
主要な情報理論である「BNF」「逆ポーランド記法」「状態遷移図」「有限オートマトン」「待ち行列」などの概念をしっかりマスターしましょう。
| 1. BNF | ||
| 「BNF」とは、「プログラム言語の文法を厳密に表現する」もので、すべて文字のみで表現します。表現方法には、「順次」「選択」「反復」があります。 ●順次 <x>::=<a><b> ここで、「::=」は定義するという意味です。この場合、「x」という構文はaとbの並びであるという意味です。 ●反復 <x>::=<a>・・・ これは、「x」という構文は、「a」という文字の繰り返しの意味です。 ●選択 <x>::=<a | b> これは、「x」という構文は、aかまたはbであるという意味です。 <x>::=[<a>] これは、「x」という構文は、aか空であるという意味です。 |
||
| 2. 逆ポーランド記法 | ||
| 「逆ポーランド記法」とは、「数式をコンピュータで処理しやすいように変換したもの」です。以下の数式を逆ポーランド記法で表現して見ましょう。 数式 f = a - b ÷ (c + d) まず、(c + d)は、cd+ と表現します。 次に、b ÷ (c + d)は、bcd+÷ と表現します。 次に、a - b ÷ (c + d)は、abcd+÷- と表現します。 最後に、f = a - b ÷ (c + d)は、fabcd+÷-= となります。これが結果です。 ●ポーランド記法 これは、例えば。a+bを逆ポーランド記法では、ab+ と表現しますが、ポーランド記法では、+ab と表現します。演算子が逆になります。 |
||
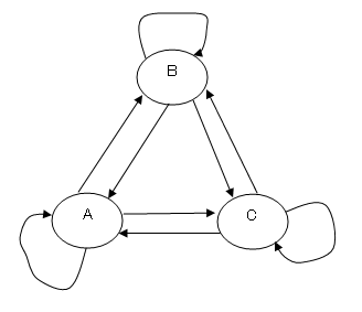
| 3. 状態遷移図 | ||
「状態遷移図」とは、「ある状態から別の状態、または、自分自身へ遷移」していくように描いた図のことを言います。以下のような感じです。
●有限オートマトン 「オートマトン」とは、「事象の発生とそれに応じた動作を時系列的にモデル化」したものです。「有限オートマトン」とは、オートマトンの最も単純なモデルで、時系列的な流れを「状態遷移図」で表現することが多いです。通常は、「初期状態」と「終了状態」があります。
|
||
| 4. 待ち行列 | ||
| 「待ち行列」は、窓口が1個の場合、ケンドール記号を使用すると「M/M/1」と表現します。 このモデルでは、以下の三つの条件が成り立っている状態を指します。 1. サービス要求の到着間隔がランダム(ポアソン分布に従う) 2. 窓口を使用する時間は要求ごとにランダム(指数分布に従う) 3. 待ち行列のサービス窓口は1個
W = P÷(1-P)×S 例えば、利用率が0.6で平均サービス時間が3分の場合, 0.6÷(1-0.6)×3(分)=4.5(分) 平均待ち時間は、4.5分となります。 尚、利用率は、「到着率÷サービス率」より求めます。 ・到着率…単位時間当たりの利用者数 ・サービス率…単位時間当たりに処理できる数 |



